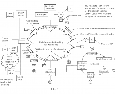
Focused on microgrids, demand response, distributed energy resources, grid messaging, and financial settlements, across the US, Canada, Mexico, EU, Korea, South Africa, and Australia
Focused on microgrids, demand response, distributed energy resources, grid messaging, and financial settlements, across the US, Canada, Mexico, EU, Korea, South Africa, and Australia